大直徑花崗巖鋸片?具有厚度與直徑比非常小的結構特點?加之其高速旋轉的實際運行狀態?本書采用板殼理論進行分析。
借助于彈性力學有限元法對鋸片進行單元劃分及數值求解?考慮到轉盤的運動方程有別于一般的結構動力學的反對稱問題?所以使用運動方程轉子動力學方法和拉格朗日方程建立大直徑花崗巖鋸片的動力學方程。
1.動力學方程的建立
1)單元劃分
在彈性力學中對花崗巖鋸片的分析?可以簡化為平面問題。根據參考文獻的研究表明?將圓鋸片劃分為正方化四邊形單元進行分析較為科學?劃分單元個數較少減小計算規模?且收斂平穩?收斂速度快。其單元劃分方式如圖3-6所示。
由以上公式可知,只要已知鋸片內徑r和外徑R,并且確定徑向劃分精度(由m定義),即可計算圓周方向劃分精度n
2)建立有限單元形函數
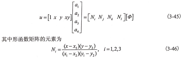
(1)直角坐標法
對于四邊形單元?在直角坐標系中用形函數表達的位移方程如下
對于平面四邊形單元和矩形單元?可用局部坐標加以解釋。局部坐標的范圍定義為-1~+1?四個節點的值固定。局部坐標系下的形函數為
(1)極坐標法
通過上述直角坐標(局部坐標)和極坐標中形函數的對比可知?對于花崗巖鋸片結構?振動分析采用極坐標更容易表達?而且求解方便。
